General information
Description
The most comprehensive prediction model of recurrent event process is the g–renewal process, which was proposed by Kijima [1]. It allows, for example, modelling both perfect and imperfect repairs through the use of the so–called restoration factor q, which defines virtual age Ai corresponding to i-th event. Two models are suggested. According to Kijima model 1
where ti is time to i-th failure, A0=0. For model 2 we have
If q=0, the repair is perfect. If q>0, we have imperfect repair including case q=1 when the system is restored to the “same-as-old” condition.

Our calculations are based on the advanced Monte Carlo method. It significantly improves raw simulation suggested in [2], especially in case of Frequency of Failure and Unavailability calculation. We also introduced repair time in the calculation and implemented it for the following underlying distribution functions: Weibull, Normal, Log-Normal. The detailed description of the method with examples demonstrating accuracy and efficiency of the method you can find in [3]. Here we provide a brief description of the main idea.

Consider the g–renewal stochastic process represented in the Figure 1. Here ti and τi are time to failure and time to repair, respectively, corresponding to the i–th event of the g–renewal process. We consider the conditional probability of failure at the time Si-1+ti assuming the component is not failed at current time Si-1 , but is aged to virtual age Ai-1 :

For each simulation trial, time to i–th failure is obtained as:
while current time Si-1≤t (see Figure 1). For each time Tk from time interval [0, t] we calculate number of failures nk that have occurred before Tk . Then simulation trials are repeated N times. The expected number of failures at time Tk is then
Figure 1. Stochastic simulation of the g–renewal process.

This is the standard Monte Carlo simulation approach for the g–renewal process suggested in [2]. In general, the Monte Carlo method is quite flexible allowing for various underlying failure time distributions and repair restoration models of the g–renewal process. However, the method can be time consuming, if many iterations with many trials are needed.

We proposed a significant improvement of the method by considering the g–renewal process as a state space representation (see Figure 2). It is defined as a set of states of a component between the i–th and the (i+1)–th failures. For the sake of simplicity, we do not show restoration states of the component, but they can be easily taken into account as well.

Figure 2. Renewal process as a state–space representation.
If Pi(t) is denoted as the probability of being at i–th state, the expected number of failures of the component is then
On the other hand
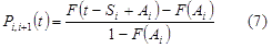
where Pi,i+1(t) is the probability of transition from state i to state i+1 at given time t under the condition that the unit is in the i–th state. Together with (3) it yields
But for the first transition P0,1(t)=F(t) , therefore we have
where according to (1)
Failure intensity w(t) is also easy to calculate taking derivative of (6) and (7) with respect to time t. Combining the result we obtain
wheref(t) is the corresponding probability density function.

The implementation of this improved Monte Carlo method is based on equations (6) and (7). For each trial and given time point Tk (Figure 1), we consider all failures happened before time Tk such that SiTk. Then, we calculate the sum of corresponding probabilities of the transition to the next failure at given Tk using (6) and (7). First term in (6) is the exact one (its variance equals zero). It is an asymptotic approximation for the small values of W(t) . The standard simulation yields the largest error exactly in this range.

If expected time to repair TR is much less than time to failure, the Unavailability of a component is Q(t)=w(t)TR . In general case:

where G(t) is the cumulative distribution function of repair times.

As a result of our calculations you will see 2 cases (curves) on the diagram. The first one corresponds to the equation Q(t)=w(t)TR (Unavailability is proportional to Failure Frequency), which can be interpreted as repair with given time or with small deviation from mean time to repair (blue curve). The second case corresponds to exponential distribution of repair times (red curve).

1. M. Kijima and N. Sumita, "A useful generalization of renewal theory: counting process governed by nonnegative Markovian increments," Journal of Applied Probability, No. 23, pp. 71-88, 1986.M.P.
2. Kaminskiy and V.V. Krivtsov, "A Monte Carlo approach to repairable system reliability analysis," Probabilistic Safety Assessment and Management, Springer-Verlag London Ltd, pp. 1063-1068, 1998.
3. O. Yevkin. A Monte Carlo approach for evaluation of availability and failure intensity under g–renewal process model, in "Advances in Safety, Reliability and Risk Management". Proceedings of ESREL conference, France, Troyes, 2011, pp. 1015–1021.