General information
Description
The purpose of this calculation is to obtain information about shear, bending moment, and deflection distribution over the length of a cantilever beam, which is under various transverse loads: couples, concentrated and linearly distributed loads. The result of calculation is represented by shear force, bending moment and deflection diagrams. Extreme values of these functions as well as their values at the ends of each segment of the beam are also calculated. In addition all main steps of the solution are represented by formulas.
Assumptions
  • The material of the beam is linear-elastic and isotropic with elasticity modulus E.
  • All loads are lateral (forces or moments have their vectors perpendicular to the beam axis) and acting at the same plane. All deflections occur in this plane of bending.
  • Deflections are small compared to the length of the beam. In this case we apply equilibrium equations to the undeformed beam axis (or its parts) and assume that the curvature of the deformed beam axis is equal to the second derivative of the deflection function.
  • Prismatic beams are considered by calculating deflections.
Sign conventions
Coordinate system has an origin on the left side of the beam. In Figures 1-3 all components are shown as positive. Clockwise external moments, downward forces, upward deflections are considered positive. Reaction is positive if it acts upward. Positive bending moment compresses the upper part of the beam; positive shear force acts clockwise against the material (Fig. 1).
Figure 1. Sign conventions for shear force V and bending moment M.
Figure 2. Cantilever beam under load of different types.
Methodology
At the first step of calculation we find the reactions using two equilibrium equations of the entire beam. From the equation of vertical equilibrium we have the reaction force:
In this formula the linearly distributed load is divided into two parts. First one is the uniformly distributed load with intensity qLi and the second part corresponds to the distributed load whose left side intensity equals to 0 and the right one is equal to qRi- qLi. We will use this representation in all following formulas.

From the equation of moment equilibrium about left end point of the beam we obtain the formula for the reaction moment:

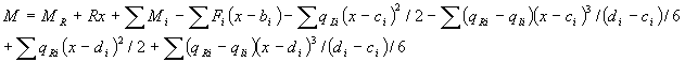
Shear force and bending moment at a cross section located at distance x from the left end of the beam are obtained from equilibrium equations of free-body diagram of the left-hand part of the beam.
Figure 3. Free-body diagram of the left-hand part of the beam.
From the equation of vertical equilibrium we have the formula for shear force:
From the equation of moment equilibrium about right end point of the free-body diagram we obtain the formula for bending moment:
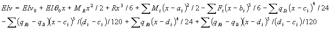
If the bending moment function M(x) is known, the deflection function v(x) could be found from the basic differential equation of the deflection curve of a prismatic beam:
After integration of this equation we obtain the formula for deflection function:
where v0 and θ0 are deflection and slope of the deflection curve at x=0 respectively. In our case of cantilever beam at the left clamped end they both are equal to 0.

Note that in the above formulas only those members that correspond to the load components located to the left side of the considered cross section with coordinate x should be taken into account: values of ai, bi, ci, di must be less than x. Formulas can be simplified in the case of uniformly distributed load discarding members with factors (qRi- qLi), which are equal to 0.

References
James M. Gere, Stephen P. Timoshenko. Mechanics of Materials, PWS Publishing Co., 4th edition, 1997, 832 p.