General information
Description
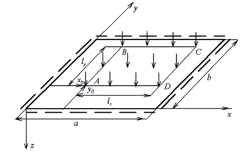
The bending of thin simply supported orthotropic rectangular plate is considered. The plate is subject to transverse uniformly distributed load q applied to the rectangular area ABCD. The Navier method is used to obtain the solution of boundary value problem. The solution is used for stress and deflection analysis. The results obtained in calculation include maximum deflection of the plate and approximation formula for deflection function, maximum normal, shear, and von Mises stresses with indication of points where these stresses occur.
Figure 1. Simply supported plate under transverse load q uniformly distributed on the rectangular area ABCD.
Assumptions
  • The classical linear bending theory of thin plate is applied.
  • The material of the structure is linear-elastic and orthotropic. The main directions of the orthotropy are parallel to the sides of the plate.
Methodology
We consider the orthotropic material with the following stress-strain relationship:
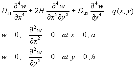
The boundary value problem for the deflection function w(x,y) is:
The stiffness coefficients in the differential equation are given by formulas
where h is the thickness of the plate.
According to the Navier method the solution of the boundary value problem w(x,y) as well as load function q(x,y) could be represented as double trigonometrical series
where
In the case of uniformly distributed load shown in Fig. 1 we have the formula for the coefficients qnm
The number of terms of the series in our calculations is defined as (a/lx+3)(b/ly+3). We also provide the approximation formula for the deflection function in which the small terms were discarded under the condition anm< wmax/200, where wmax is maximum deflection of the plate.
For calculation stresses in the bottom layer of the plate we use the following formulas:
In addition to σx , σy , τxy the model allows to obtain maximum values of the following stresses:

principal stresses

shear stresses
von Mises stresses
References
  1. S. Timoshenko, S. Woinowsky-Krieger. Theory of plates and shells, McGraw-Hill, 1959, 580 p.
  2. Robert M. Jones. Mechanics of composite materials, Taylor & Francis Inc., 2d edition, 1999, 519 p..
  3. Laszlo P. Kollar, Gearge S. Springer. Mechanics of composite structures, Cambridge University Press, 2003, 480 p.