General information
Description
Thin isotropic elastic spherical shell subject to external pressure is considered. The response of the structure to local perturbations of different types (including radial probing force, prescribed deflection at the shell pole, and energy barrier) is calculated. Special attention is paid to the energy barrier which is required for structure transition from initial equilibrium state to the post-buckling dimple-like state. Energy barrier criterion is used as a measure of metastability of the structure and applied for estimation of load level separating high and low sensitivity of the shell to the perturbations. Based on this pressure value, formulae for design buckling load are used in the calculation..
Figure 1. Clamped spherical shell under external pressure and concentrated probing force.
Assumptions
  • The theory of thin shells is applied.
  • The influence of boundary conditions of clamped shell is ignored therefore maximum deflection at the shell pole is restricted in the calculation: w0<2H. If deflection is getting closer to 2H, the pressure of clamped shell is increasing sharply.
  • The material of the structure is linear-elastic.

Methodology
After the following substitution for deflection w, force Q, total potential energy En and pressure q
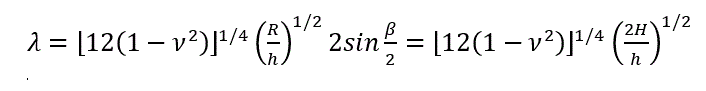
the boundary value problem depends only on one parameter
Here R, h is radius and shell thickness, β is half the included angle of the spherical cap, H is its height, E, ν is modulus of elasticity and Poisson’s ratio of material, UA is deformation energy of the shell in the initial pre-buckling state, qc is classical buckling pressure.

The analytical model is developed in the following research paper:
DOI: 10.1016/j.tws.2023.110629. Two asymptotic solutions for large and small deflections (compared to shell thickness) were applied to construct analytical solutions suitable for entire range of the deflection. In addition, numerical results obtained at the range of moderate defections were used. Simple formulae were obtained for analysis. For example, force-deflection dependence can be easily obtained for fixed value of pressure q by using the model. An example is shown in Figure 2 for q=0.3. Here Qmax corresponds to buckling load combination of pressure and force, if Q=0 we obtain the value of deflection w corresponding to post-buckling state of the shell under pressure q only. The corresponding value of energy barrier En is calculated.

Figure 2. Force-deflection diagram at q=0.3.

The result is provided as Table of values of energy barrier En, maximum force Qmax, deflection for the interval of pressure q [0.1, 0.6]. Data are normalized according to above formulae. Deflection at the shell pole w is normalized with respect to shell thickness h. The graph of energy barrier depending on q is also depicted.

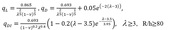
In the research papers DOI: 10.1016/j.ijsolstr.2017.04.026 and DOI: 10.1016/j.ijsolstr.2018.06.035 the energy barrier is used as a measure of sensitivity of the structure to perturbations. The following formulae were derived based on energy barrier criterion:
where formula for qL separates the zone of high sensitivity of the shell and can be used as upper bound estimation of knockdown factor (KDF) for design buckling load. Then it was adjusted to experimental data and numerical solutions and formula for qD was obtained. It can be used as a lower bound estimation of imperfect shell of high and moderate quality. Equation for qDI can be recommended for structure of lower quality. These values and corresponding energy barrier are calculated as well.

We have to note that local geometrical imperfections are well correlated with localized external perturbations (see DOI: 10.1016/j.ijsolstr.2018.06.035

For some comments or more information about calculation of nonlinear behavior of thin shells of different shapes and boundary conditions, geometrical and stiffness properties, and under different types of load please contact the author of the asymptotic method and present calculation Alex Yevkin by email and take a look at his personal web site.

References
  1. A. Evkin, Sensitivity and uncertainty propagation in buckling of spherical shells under external pressure, Thin-Walled Structures, Vol. 190, 2023, pp. 110978.
     
  2. A. Evkin, Properties of local buckling of spherical shell under external pressure, Thin-Walled Structures, Vol. 185, 2023, pp. 110629.
     
  3. V. Krasovsky, A. Evkin, Experimental investigation of buckling of dented cylindrical shells under axial compression, Thin-Walled Structures, Vol. 164, 2021, pp. 107869.
     
  4. A. Evkin, O. Lykhachova, Energy barrier method for estimation of design buckling load of axially compressed elasto-plastic cylindrical shells, Thin-Walled Structures, Vol. 161, 2021, pp. 107454.
     
  5. O. Lykhachova, A. Evkin, Effect of plasticity in the concept of local buckling of axially compressed cylindrical shells, Thin-Walled Structures, Vol. 155, 2020, pp. 106965.
     
  6. A. Evkin, Analytical model of local buckling of axially compressed cylindrical shells, Thin-Walled Structures, Vol. 168, 2021, pp. 108261.
     
  7. A. Evkin, Composite spherical shells at large deflections. Asymptotic analysis and applicationsn, Composite Structures, Vol. 233, 2020, pp. 111577.
     
  8. A. Evkin, Dynamic energy barrier estimation for spherical shells under external pressure, International Journal of Mechanical Sciences, Vol. 160, September 2019, pp. 51-58.
     
  9. A. Evkin, V. Krasovsky, O. Lykhachova, V. Marchenko, Local buckling of axially compressed cylindrical shells with different boundary conditions, Thin-Walled Structures, Vol. 141, August 2019, pp. 374-388.
     
  10. A. Evkin, M. Kolesnikov, O. Lykhachova, Buckling load prediction of an externally pressurized thin spherical shell with localized imperfections, Mathematics and Mechanics of Solids, Vol. 24, Issue 3, August 2018.
     
  11. A. Evkin, O. Lykhachova, Design buckling pressure for thin spherical shells: Development and validation, International Journal of Solids and Structures, Vol. 156-157, January 2019, pp. 61-72.
     
  12. A. Evkin, O. Lykhachova, Energy barrier as a criterion for stability estimation of spherical shell under uniform external pressure, International Journal of Solids and Structures, Vol. 118-119, July 2017, pp. 14-23.