General information
Description
We assume that user is familiar with the methodology. The purpose of the following is just to provide some information about capabilities and limitation on the calculation methods. More detailed description of applied techniques can be found in [1].

Rank Regression method
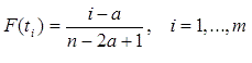
In this method given failure and suspension times are converted to Unreliability F(ti) for each failure time ti. For this purpose, we applied the following approximate formula of median ranking

Parameter a=0.3 yields Benard’s formula, a=0.5 corresponds to Hazen’s approximation. The case a=0 corresponds to the mean ranking.
We also use the rank adjustment method for right censored (suspension) data which is based on the Mean Order Number (MON) and is used in the above formula instead of i. It is given by recurrent formula
Increment Ii is calculated as
where ri is the total number of items beyond the current suspended set.
For the given data points we calculate parameters of the selected for Weibull prediction probability distribution function minimizing the distance from given points to points corresponding to the probability function (residual sum). If it is done with respect to probability, it is the regression on Y. If the criterion is time, it is regression on X. For the Weibull, Normal, Log-Normal function the solution is exact and simple. The main disadvantage of the regression method is the accuracy of converting failure and suspension times to Unreliability.

Maximum Likelihood Estimator
Maximum likelihood method does not need the conversion from times to probabilities and it is preferable if most items are suspended in the test. However, finding maximum of likelihood is a more complicated problem compared to the regression one. To solve the problem efficiently, we applied the Newton-Raphson iteration method. As an initial data for the iteration, we used the solution obtained in the regression method.

Confidence bounds
Confidence bounds estimation is based on the likelihood function, even if the regression method for estimation is selected. We provide two methods for confidence bounds estimation. First one is based on the Fisher information matrix which is a matrix of second partial derivatives of log-likelihood function with respect to probability distribution function parameters. The corresponding inverse matrix defines the variance-covariance matrix, which is used for confidence bounds estimation in our calculations.
Another method we suggest to user is the maximum likelihood ratio method. It is more sophisticated compared to the Fisher matrix method, but usually yields better estimation of the confidence bounds.

[1] O’Connor, Patrick D T. and Kleyner, Andre. Practical Reliability Engineering, 5th Edition. Chichester: Wiley, 2012, 512pp.